Официальное опубликование правовых актов
ОФИЦИАЛЬНОЕ ОПУБЛИКОВАНИЕ
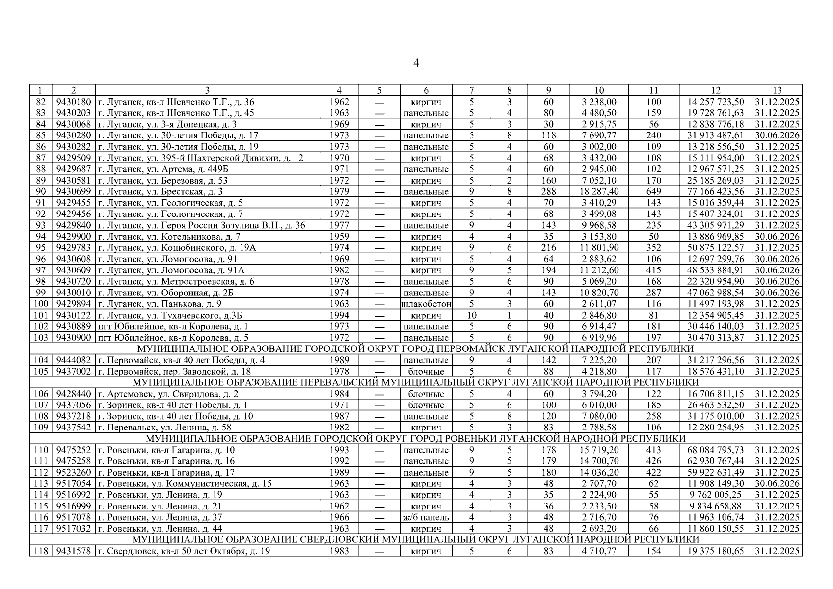
Постановление Правительства Луганской Народной Республики от 24.12.2025 № 306/25
"О внесении изменения в региональную адресную программу капитального ремонта общего имущества в многоквартирных домах на территории Луганской Народной Республики на 2024–2026 годы, утвержденную постановлением Правительства Луганской Народной Республики от 01.10.2024 № 208/24"
Номер опубликования: 8100202512250007
Дата опубликования: 25.12.2025
Страница №12 из 30:
Увеличить