Официальное опубликование правовых актов
ОФИЦИАЛЬНОЕ ОПУБЛИКОВАНИЕ
Постановление Правительства Луганской Народной Республики от 22.01.2026 № 06/26
"О некоторых вопросах, связанных с управлением и распоряжением имуществом Луганской Народной Республики"
Номер опубликования: 8100202601260005
Дата опубликования: 26.01.2026
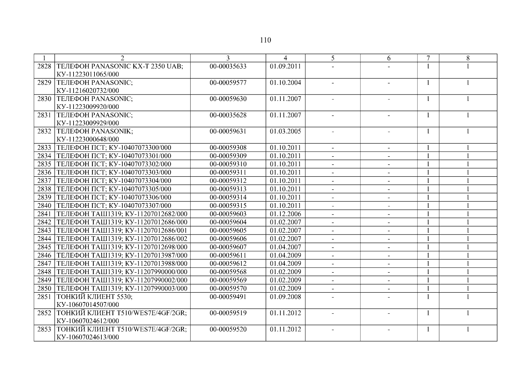
Страница №1536 из 4783:
Увеличить