Официальное опубликование правовых актов
ОФИЦИАЛЬНОЕ ОПУБЛИКОВАНИЕ
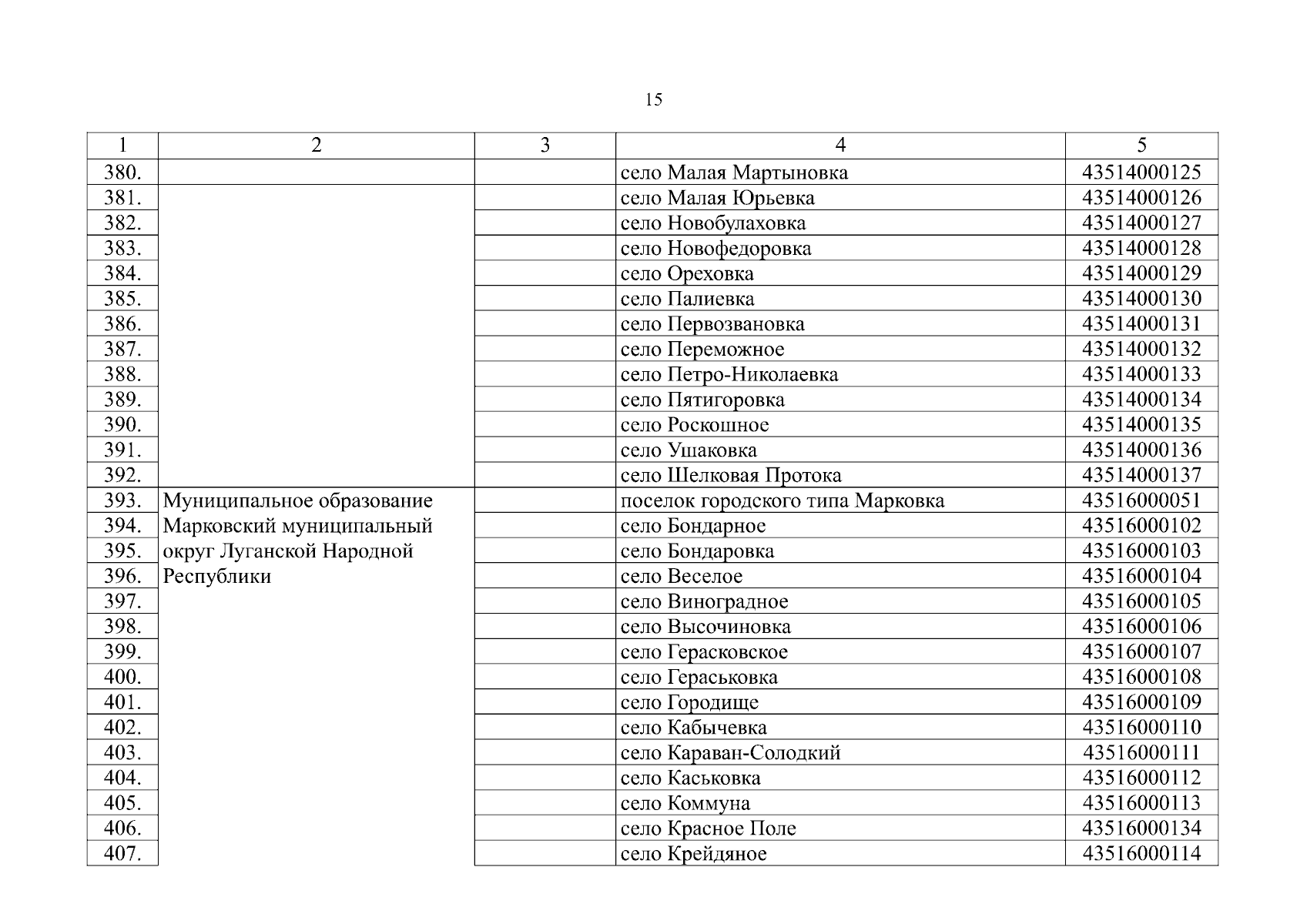
Распоряжение Правительства Луганской Народной Республики от 17.02.2026 № 85-р/26
"Об утверждении Перечня населенных пунктов, расположенных на сельских территориях Луганской Народной Республики"
Номер опубликования: 8100202602190001
Дата опубликования: 19.02.2026
Страница №16 из 34:
Увеличить