Официальное опубликование правовых актов
ОФИЦИАЛЬНОЕ ОПУБЛИКОВАНИЕ
Постановление Правительства Луганской Народной Республики от 03.03.2026 № 46/26
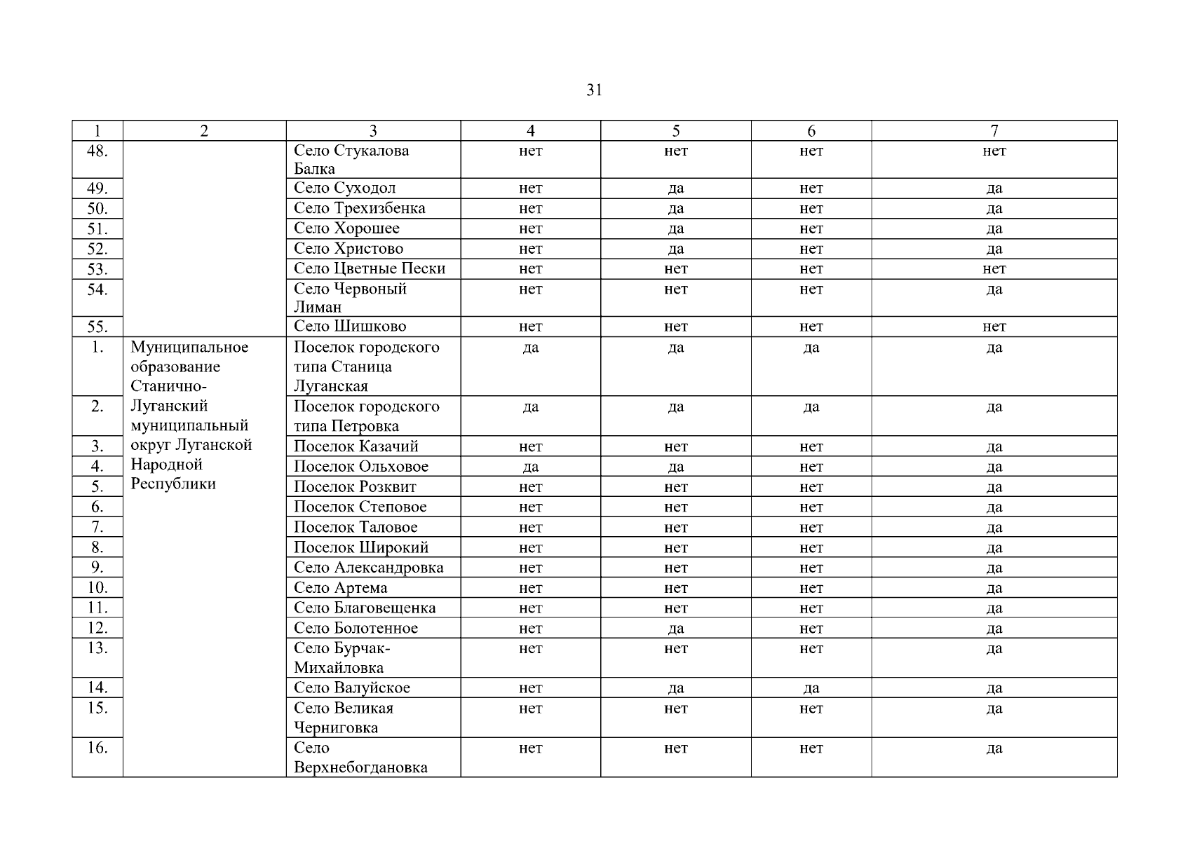
"Об утверждении перечня населенных пунктов, подверженных угрозе лесных пожаров и других ландшафтных (природных) пожаров, а также перечня территорий организаций отдыха детей и их оздоровления, территорий садоводства или огородничества, подверженных угрозе лесных пожаров, и установлении начала пожароопасного сезона в 2026 году на территории Луганской Народной Республики"
Номер опубликования: 8100202603030003
Дата опубликования: 03.03.2026
Страница №32 из 85:
Увеличить