Официальное опубликование правовых актов
ОФИЦИАЛЬНОЕ ОПУБЛИКОВАНИЕ
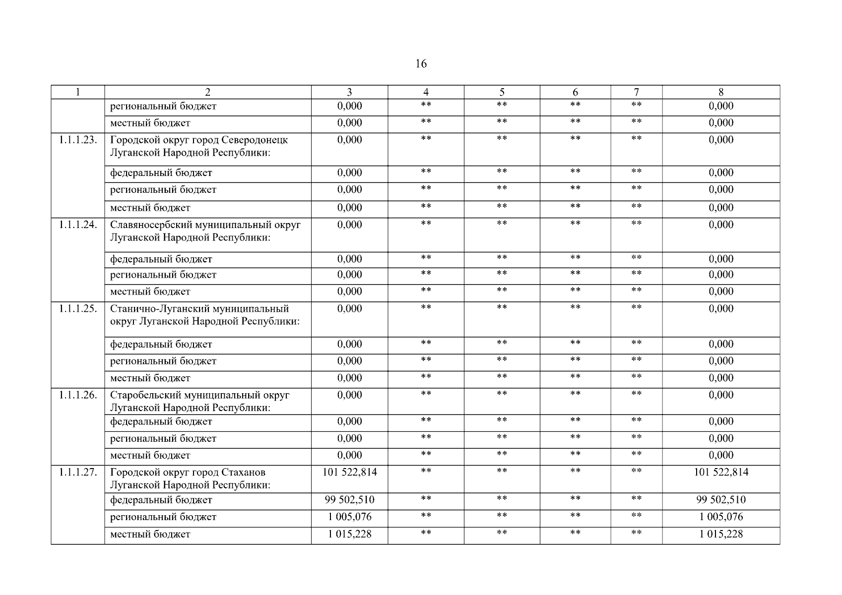
Постановление Правительства Луганской Народной Республики от 13.03.2026 № 56/26
"О внесении изменений в государственную программу Луганской Народной Республики "Формирование современной городской среды на территории Луганской Народной Республики"
Номер опубликования: 8100202603160002
Дата опубликования: 16.03.2026
Страница №17 из 49:
Увеличить