Официальное опубликование правовых актов
ОФИЦИАЛЬНОЕ ОПУБЛИКОВАНИЕ
Постановление Администрации Ненецкого автономного округа от 06.10.2017 № 315-п
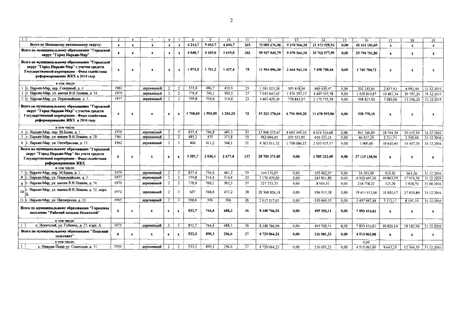
"О внесении изменений в краткосрочный план реализации региональной программы капитального ремонта общего имущества в многоквартирных домах, расположенных на территории Ненецкого автономного округа, на 2014-2016 годы"
Номер опубликования: 8300201710090004
Дата опубликования: 09.10.2017
Страница №3 из 8:
Увеличить