Официальное опубликование правовых актов
ОФИЦИАЛЬНОЕ ОПУБЛИКОВАНИЕ
Закон Ненецкого автономного округа от 21.02.2022 № 311-оз
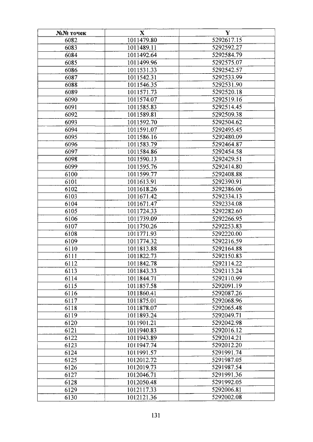
"О внесении изменений в закон Ненецкого автономного округа "О территориях Ненецкого автономного округа, в границах которых земельные участки могут быть предоставлены в безвозмездное пользование в соответствии с Федеральным законом "Об особенностях предоставления гражданам земельных участков, находящихся в государственной или муниципальной собственности и расположенных в Арктической зоне Российской Федерации и на других территориях Севера, Сибири и Дальнего Востока Российской Федерации, и о внесении изменений в отдельные законодательные акты Российской Федерации"
Номер опубликования: 8300202202210010
Дата опубликования: 21.02.2022
Страница №131 из 140:
Увеличить