Официальное опубликование правовых актов
ОФИЦИАЛЬНОЕ ОПУБЛИКОВАНИЕ
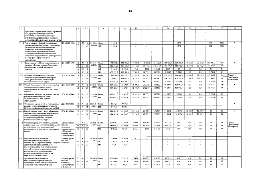
Постановление Администрации Ненецкого автономного округа от 20.09.2022 № 254-п
"О внесении изменений в государственную программу Ненецкого автономного округа "Модернизация жилищно-коммунального хозяйства Ненецкого автономного округа"
Номер опубликования: 8300202209210001
Дата опубликования: 21.09.2022
Страница №19 из 22:
Увеличить