Официальное опубликование правовых актов
ОФИЦИАЛЬНОЕ ОПУБЛИКОВАНИЕ
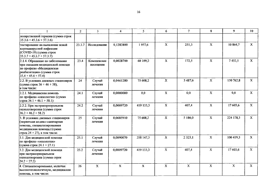
Постановление Администрации Ненецкого автономного округа от 29.12.2022 № 391-п
"О внесении изменений в Программу государственных гарантий бесплатного оказания гражданам медицинской помощи на территории Ненецкого автономного округа на 2022 год и на плановый период 2023 и 2024 годов"
Номер опубликования: 8300202212310002
Дата опубликования: 31.12.2022
Страница №17 из 67:
Увеличить