Официальное опубликование правовых актов
ОФИЦИАЛЬНОЕ ОПУБЛИКОВАНИЕ
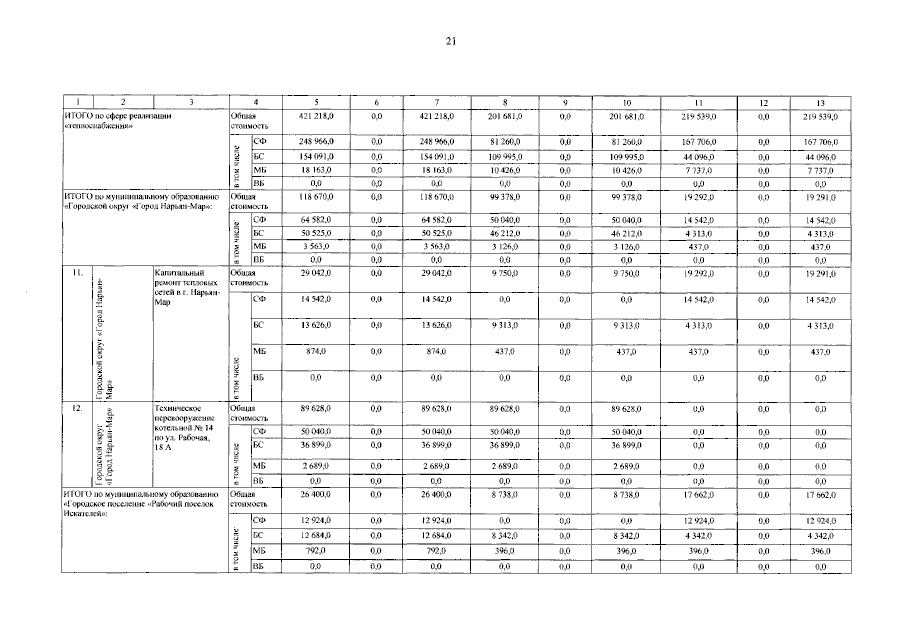
Постановление Администрации Ненецкого автономного округа от 07.07.2023 № 198-п
"Об утверждении региональной программы "Модернизация систем коммунальной инфраструктуры Ненецкого автономного округа на 2023–2027 годы"
Номер опубликования: 8300202307110003
Дата опубликования: 11.07.2023
Страница №22 из 31:
Увеличить