Официальное опубликование правовых актов
ОФИЦИАЛЬНОЕ ОПУБЛИКОВАНИЕ
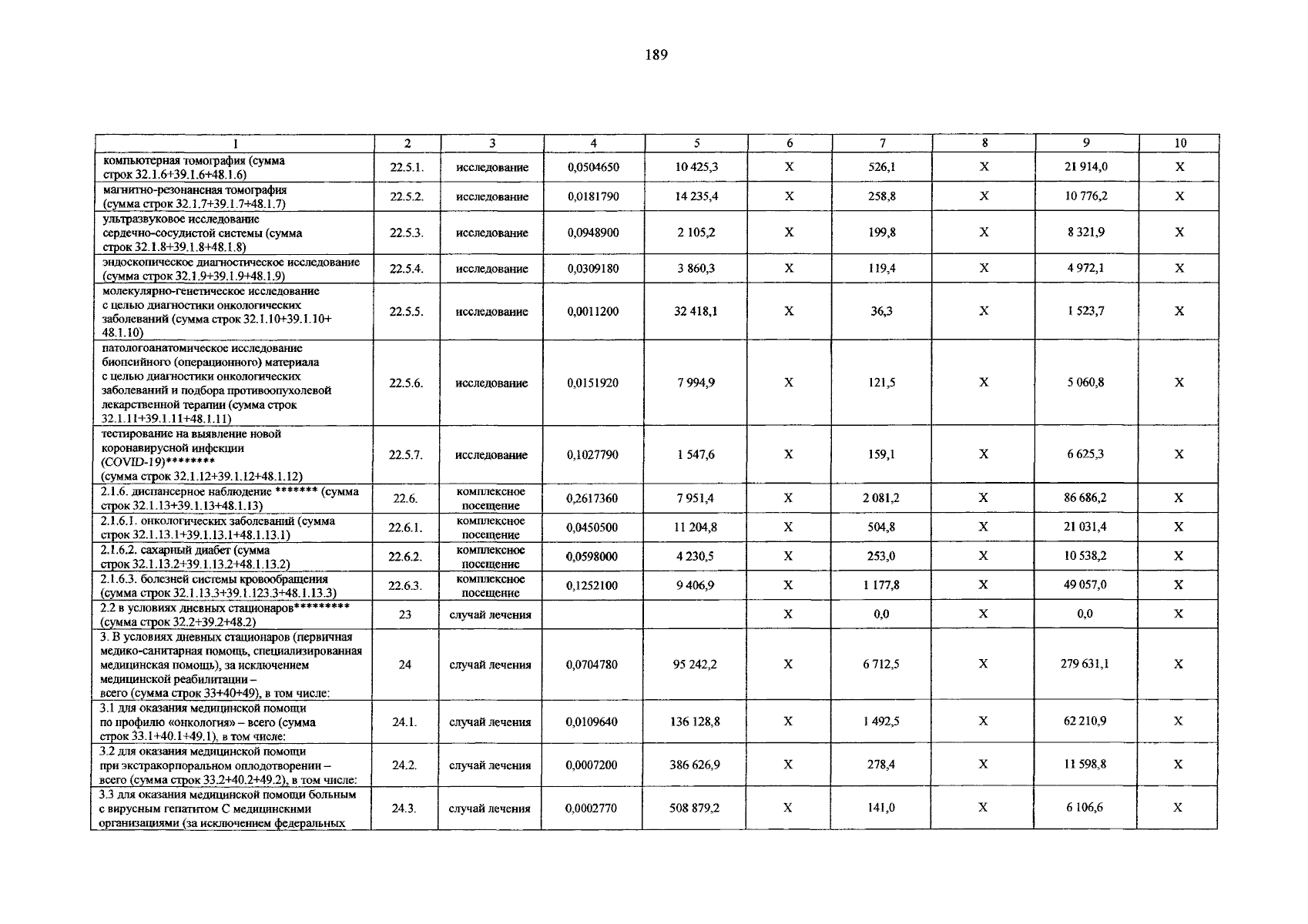
Постановление Администрации Ненецкого автономного округа от 07.02.2024 № 19-п
"О Программе государственных гарантий бесплатного оказания гражданам медицинской помощи на территории Ненецкого автономного округа на 2024 год и на плановый период 2025 и 2026 годов"
Номер опубликования: 8300202402140001
Дата опубликования: 14.02.2024
Страница №190 из 229:
Увеличить