Официальное опубликование правовых актов
ОФИЦИАЛЬНОЕ ОПУБЛИКОВАНИЕ
Приказ Департамента природных ресурсов, экологии и агропромышленного комплекса Ненецкого автономного округа от 02.12.2019 № 37-пр
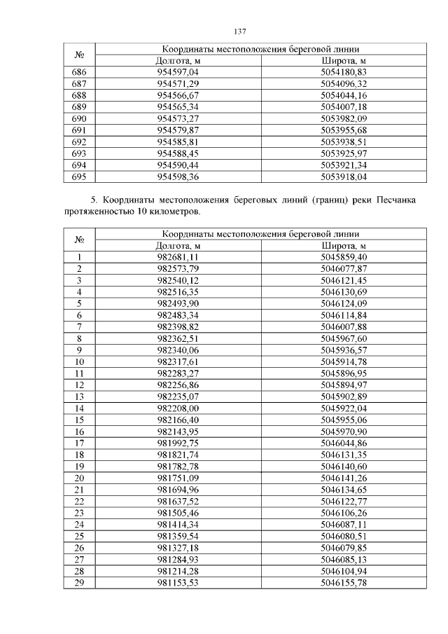
"Об установлении местоположения береговых линий, границ водоохранных зон и границ прибрежных защитных полос водных объектов, находящихся в федеральной собственности и расположенных на территории Ненецкого автономного округа"
Номер опубликования: 8301201912020004
Дата опубликования: 02.12.2019
Страница №141 из 168:
Увеличить