Официальное опубликование правовых актов
ОФИЦИАЛЬНОЕ ОПУБЛИКОВАНИЕ
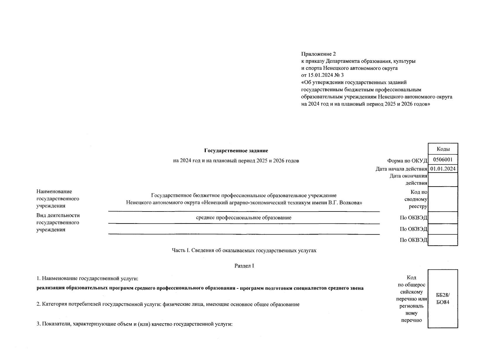
Приказ Департамента образования, культуры и спорта Ненецкого автономного округа от 15.01.2024 № 3
"Об утверждении государственных заданий государственным бюджетным профессиональным образовательным учреждениям Ненецкого автономного округа на 2024 год и на плановый период 2025 и 2026 годов"
(Зарегистрирован 16.01.2024 № 14)
Номер опубликования: 8301202401160001
Дата опубликования: 16.01.2024
Страница №14 из 37:
Увеличить