Официальное опубликование правовых актов
ОФИЦИАЛЬНОЕ ОПУБЛИКОВАНИЕ
Приказ Департамента образования, культуры и спорта Ненецкого автономного округа от 23.12.2024 № 110
"О внесении изменения в Приложение 6 к приказу Департамента образования, культуры и спорта Ненецкого автономного округа от 15.01.2024 № 5"
(Зарегистрирован 24.12.2024 № 449)
Номер опубликования: 8301202412240003
Дата опубликования: 24.12.2024
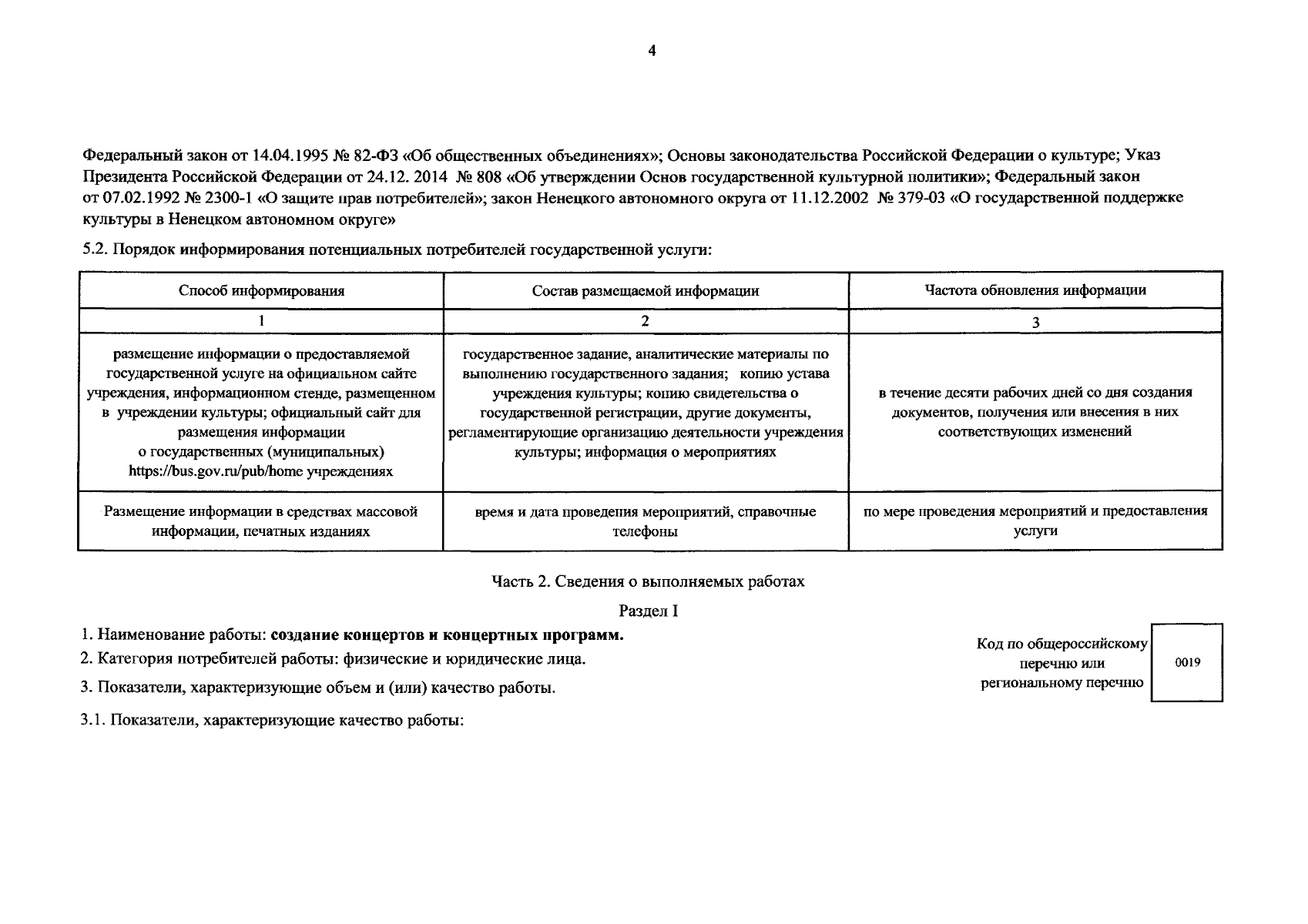
Страница №5 из 11:
Увеличить