Официальное опубликование правовых актов
ОФИЦИАЛЬНОЕ ОПУБЛИКОВАНИЕ
Приказ Департамента внутреннего контроля и надзора Ненецкого автономного округа от 04.02.2025 № 9
"О внесении изменений в приказ Департамента внутреннего контроля и надзора Ненецкого автономного округа от 16.02.2022 № 15"
(Зарегистрирован 05.02.2025 № 50)
Номер опубликования: 8301202502050002
Дата опубликования: 05.02.2025
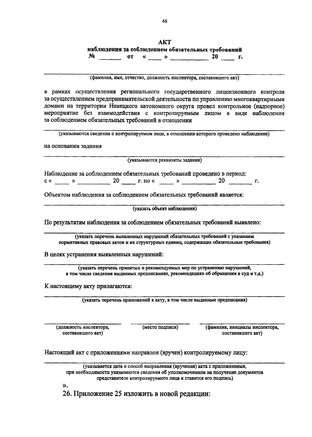
Страница №47 из 60:
Увеличить