Приказ Управления по государственному регулированию цен (тарифов) Ненецкого автономного округа от 15.12.2025 № 44
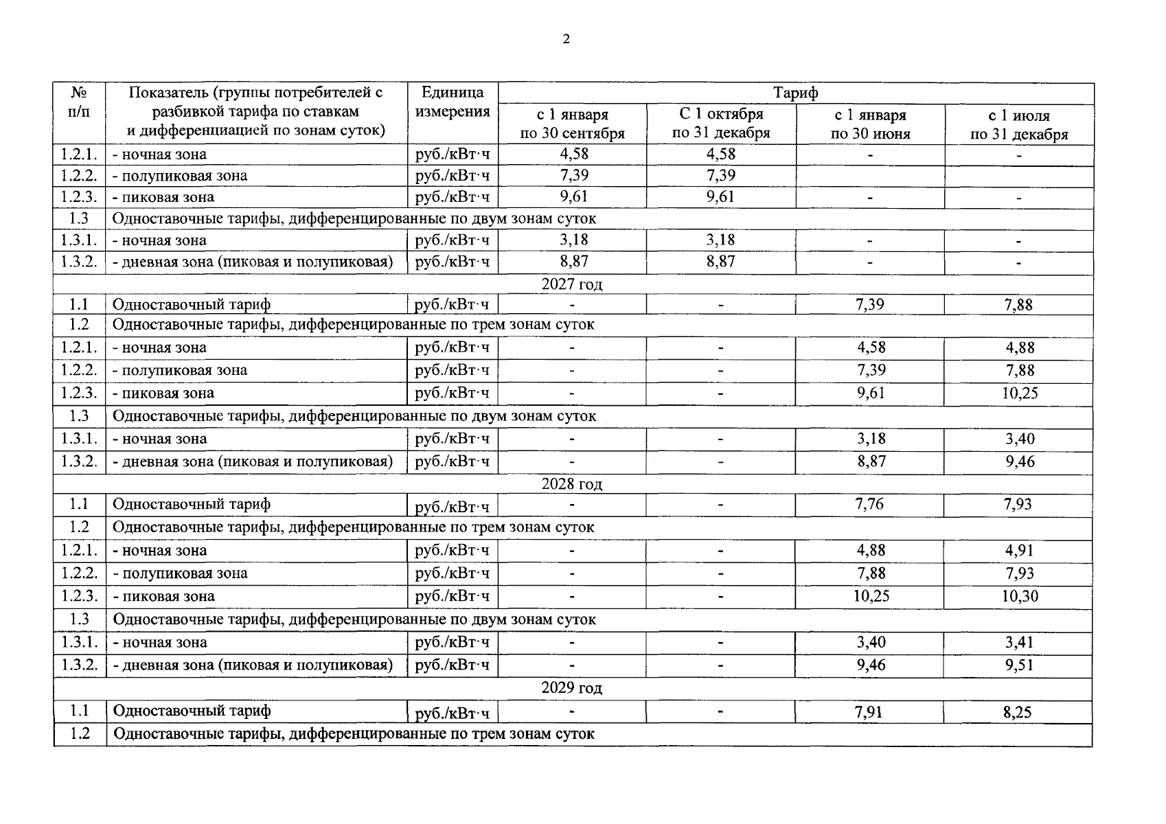
"Об установлении тарифов на электрическую энергию (мощность) для потребителей Энергоцентра-125 МВт "Южное Хыльчую" общества с ограниченной ответственностью "ЛУКОЙЛ-ПЕРМЬ" на территории Ненецкого автономного округа на долгосрочный период регулирования 2026–2030 годов"
(Зарегистрирован 15.12.2025 № 345)
"Об установлении тарифов на электрическую энергию (мощность) для потребителей Энергоцентра-125 МВт "Южное Хыльчую" общества с ограниченной ответственностью "ЛУКОЙЛ-ПЕРМЬ" на территории Ненецкого автономного округа на долгосрочный период регулирования 2026–2030 годов"
(Зарегистрирован 15.12.2025 № 345)
Номер опубликования: 8301202512160003
Дата опубликования:
16.12.2025
