Официальное опубликование правовых актов
ОФИЦИАЛЬНОЕ ОПУБЛИКОВАНИЕ
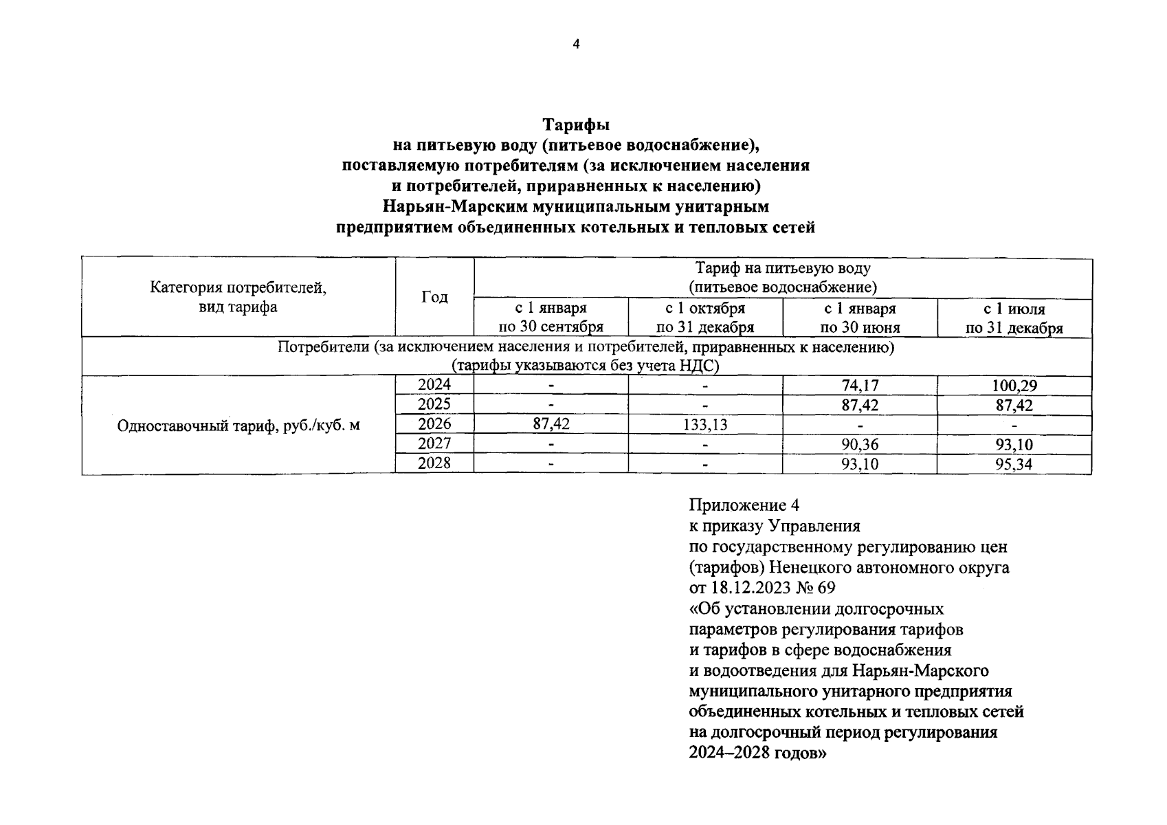
Приказ Управления по государственному регулированию цен (тарифов) Ненецкого автономного округа от 17.12.2025 № 58
"О внесении изменений в приказ Управления по государственному регулированию цен (тарифов) Ненецкого автономного округа от 18.12.2023 № 69"
(Зарегистрирован 17.12.2025 № 361)
Номер опубликования: 8301202512180003
Дата опубликования: 18.12.2025
Страница №5 из 15:
Увеличить