Официальное опубликование правовых актов
ОФИЦИАЛЬНОЕ ОПУБЛИКОВАНИЕ
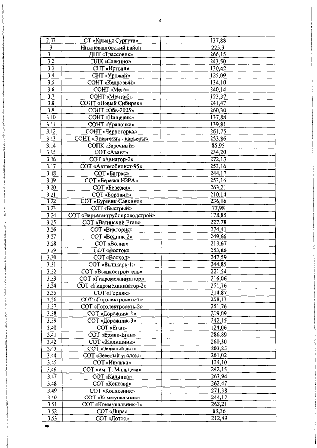
Постановление Правительства Ханты-Мансийского автономного округа - Югры от 13.02.2015 № 29-п
"О внесении изменений в приложение к постановлению Правительства Ханты-Мансийского автономного округа - Югры от 10 января 2014 года № 2-п "Об утверждении результатов государственной кадастровой оценки земельных участков в составе земель сельскохозяйственного назначения на территории Ханты-Мансийского автономного округа - Югры" и признании утратившими силу некоторых постановлений Правительства Ханты-Мансийского автономного округа - Югры"
Номер опубликования: 8600201502170001
Дата опубликования: 17.02.2015
Страница №4 из 7:
Увеличить