Официальное опубликование правовых актов
ОФИЦИАЛЬНОЕ ОПУБЛИКОВАНИЕ
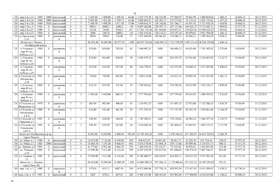
Постановление Правительства Ханты-Мансийского автономного округа - Югры от 04.03.2016 № 62-п
"О внесении изменения в постановление Правительства Ханты-Мансийского автономного округа – Югры от 5 июня 2014 года № 202-п "О краткосрочном плане реализации программы капитального ремонта общего имущества в многоквартирных домах, расположенных на территории Ханты-Мансийского автономного округа - Югры, на 2014 - 2016 годы"
Номер опубликования: 8600201603110008
Дата опубликования: 11.03.2016
Страница №9 из 118:
Увеличить