Официальное опубликование правовых актов
ОФИЦИАЛЬНОЕ ОПУБЛИКОВАНИЕ
Постановление Правительства Ханты-Мансийского автономного округа - Югры от 25.03.2016 № 87-п
"О внесении изменений в приложение к постановлению Правительства Ханты-Мансийского автономного округа – Югры от 9 октября 2013 года № 427-п "О государственной программе Ханты-Мансийского автономного округа – Югры "Развитие культуры и туризма в Ханты-Мансийском автономном округе – Югре на 2016-2020 годы"
Номер опубликования: 8600201603290006
Дата опубликования: 29.03.2016
Страница №4 из 10:
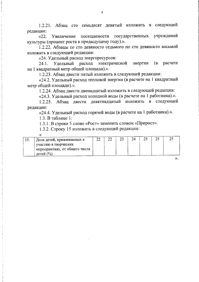
Увеличить