Официальное опубликование правовых актов
ОФИЦИАЛЬНОЕ ОПУБЛИКОВАНИЕ
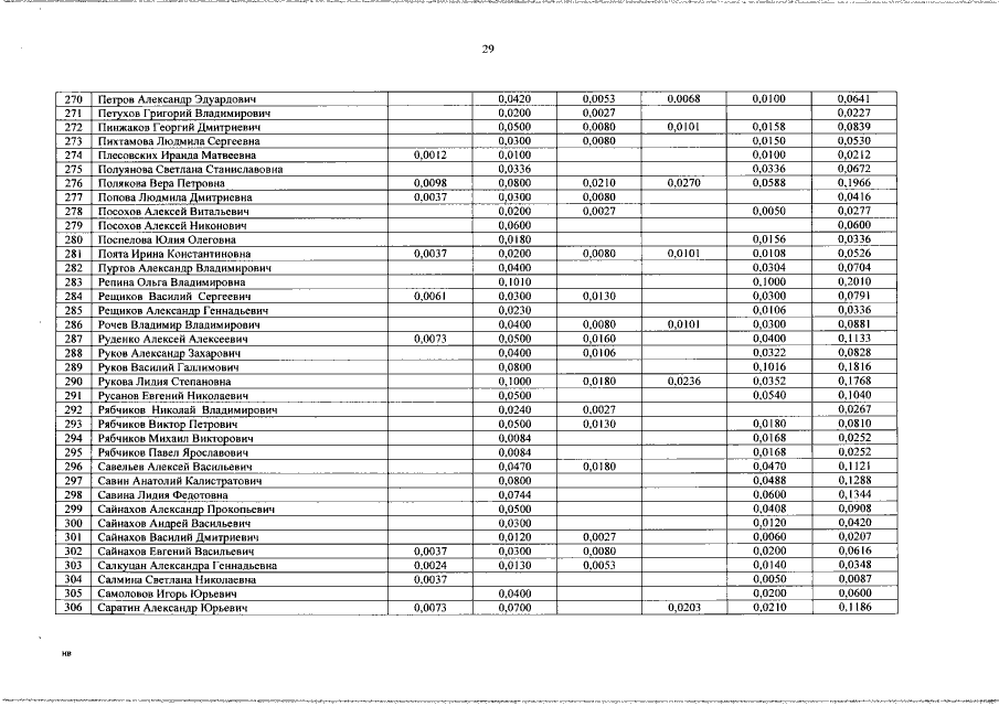
Постановление Правительства Ханты-Мансийского автономного округа - Югры от 19.01.2017 № 6-п
"О распределении квот добычи (вылова) водных биологических ресурсов для организации рыболовства в целях обеспечения ведения традиционного образа жизни и осуществления традиционной хозяйственной деятельности коренных малочисленных народов Севера в Ханты-Мансийском автономном округе – Югре на 2017 год"
Номер опубликования: 8600201701240002
Дата опубликования: 24.01.2017
Страница №29 из 47:
Увеличить