Официальное опубликование правовых актов
ОФИЦИАЛЬНОЕ ОПУБЛИКОВАНИЕ
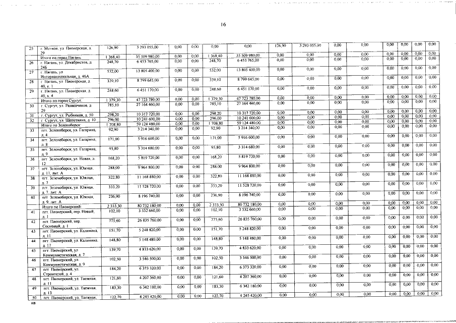
Постановление Правительства Ханты-Мансийского автономного округа - Югры от 10.02.2017 № 46-п
"О внесении изменений в приложение к постановлению Правительства Ханты-Мансийского автономного округа – Югры от 30 мая 2013 года № 211-п "Об адресной программе Ханты-Мансийского автономного округа – Югры по переселению граждан из аварийного жилищного фонда на 2013 - 2017 годы"
Номер опубликования: 8600201702140005
Дата опубликования: 14.02.2017
Страница №16 из 24:
Увеличить