Официальное опубликование правовых актов
ОФИЦИАЛЬНОЕ ОПУБЛИКОВАНИЕ
Постановление Правительства Ханты-Мансийского автономного округа - Югры от 07.07.2024 № 238-п
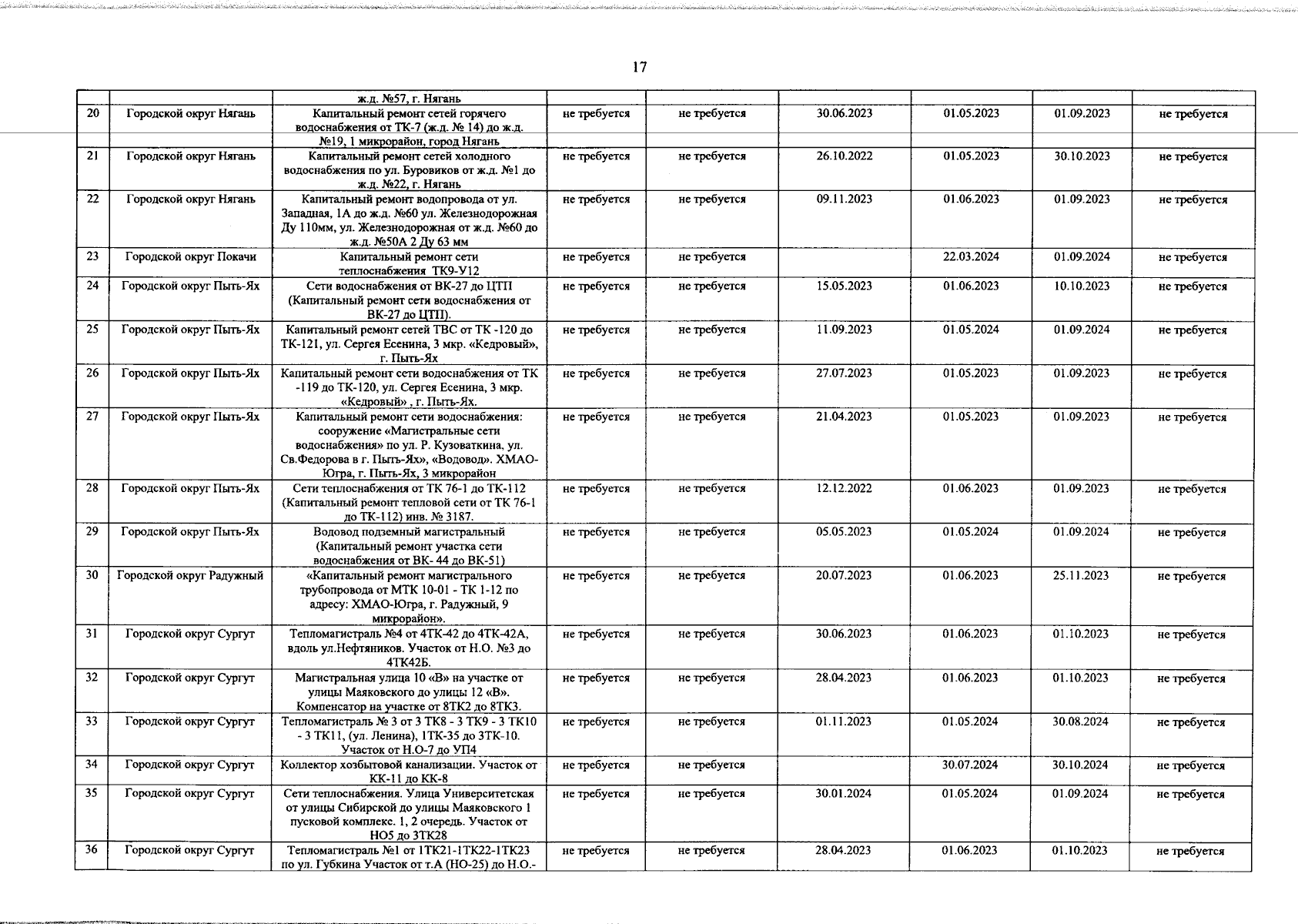
"О внесении изменений в приложение к постановлению Правительства Ханты-Мансийского автономного округа – Югры от 20 января 2023 года № 27-п "О региональной программе Ханты-Мансийского автономного округа – Югры "Модернизация систем коммунальной инфраструктуры на 2023-2027 годы"
Номер опубликования: 8600202407110003
Дата опубликования: 11.07.2024
Страница №17 из 47:
Увеличить