Официальное опубликование правовых актов
ОФИЦИАЛЬНОЕ ОПУБЛИКОВАНИЕ
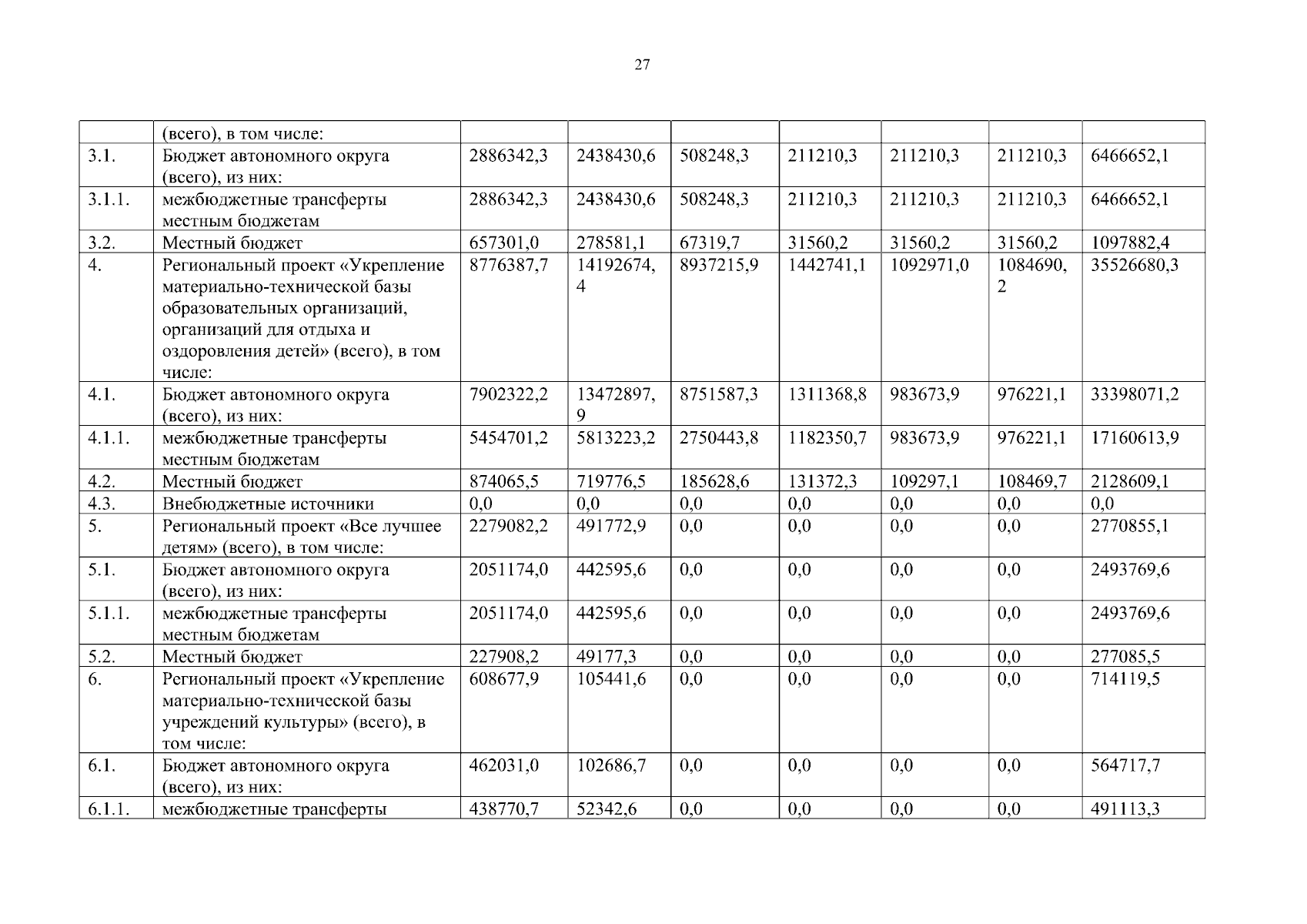
Постановление Правительства Ханты-Мансийского автономного округа - Югры от 08.09.2025 № 345-п
"О внесении изменений в приложение к постановлению Правительства Ханты-Мансийского автономного округа – Югры от 10 ноября 2023 года № 561-п "О государственной программе Ханты-Мансийского автономного округа – Югры "Строительство"
Номер опубликования: 8600202509120006
Дата опубликования: 12.09.2025
Страница №27 из 158:
Увеличить