Официальное опубликование правовых актов
ОФИЦИАЛЬНОЕ ОПУБЛИКОВАНИЕ
Постановление Правительства Ханты-Мансийского автономного округа - Югры от 24.12.2025 № 540-п
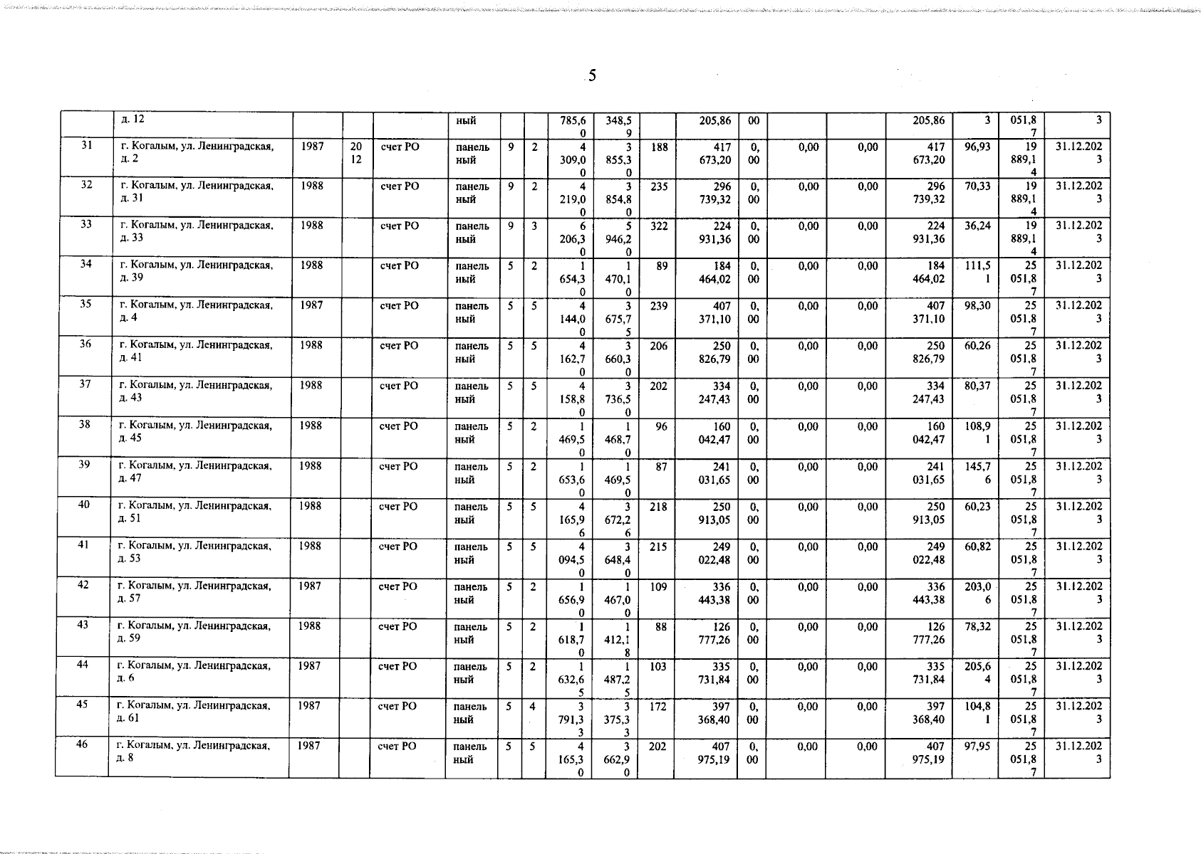
"О внесении изменения в постановление Правительства Ханты-Мансийского автономного округа – Югры от 25 марта 2022 года № 102-п "О краткосрочном плане реализации программы капитального ремонта общего имущества в многоквартирных домах, расположенных на территории Ханты-Мансийского автономного округа – Югры, на 2023 – 2025 годы"
Номер опубликования: 8600202512270003
Дата опубликования: 27.12.2025
Страница №5 из 285:
Увеличить