Официальное опубликование правовых актов
ОФИЦИАЛЬНОЕ ОПУБЛИКОВАНИЕ
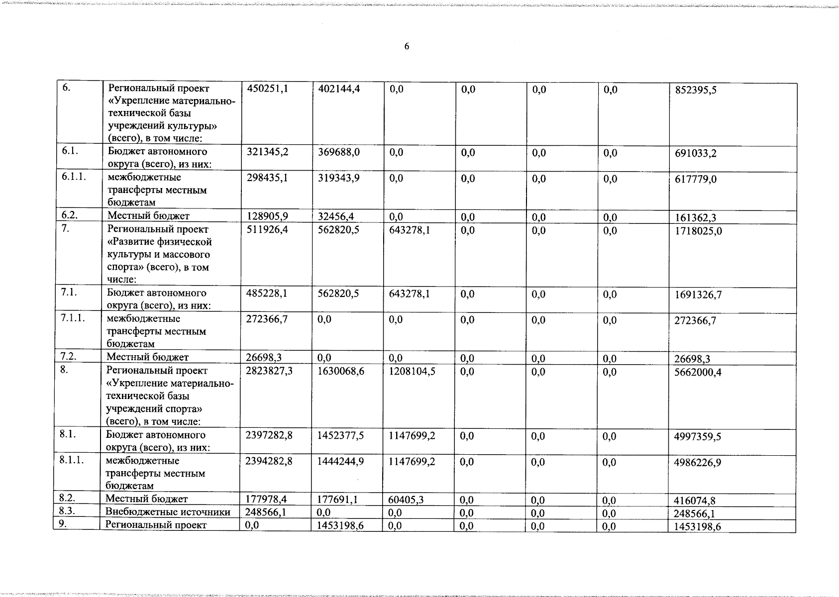
Постановление Правительства Ханты-Мансийского автономного округа - Югры от 09.02.2026 № 26-п
"О внесении изменений в приложение к постановлению Правительства Ханты-Мансийского автономного округа – Югры от 10 ноября 2023 года № 561-п "О государственной программе Ханты-Мансийского автономного округа – Югры "Строительство"
Номер опубликования: 8600202602130002
Дата опубликования: 13.02.2026
Страница №6 из 50:
Увеличить