Официальное опубликование правовых актов
ОФИЦИАЛЬНОЕ ОПУБЛИКОВАНИЕ
Постановление Правительства Ханты-Мансийского автономного округа - Югры от 20.03.2026 № 74-п
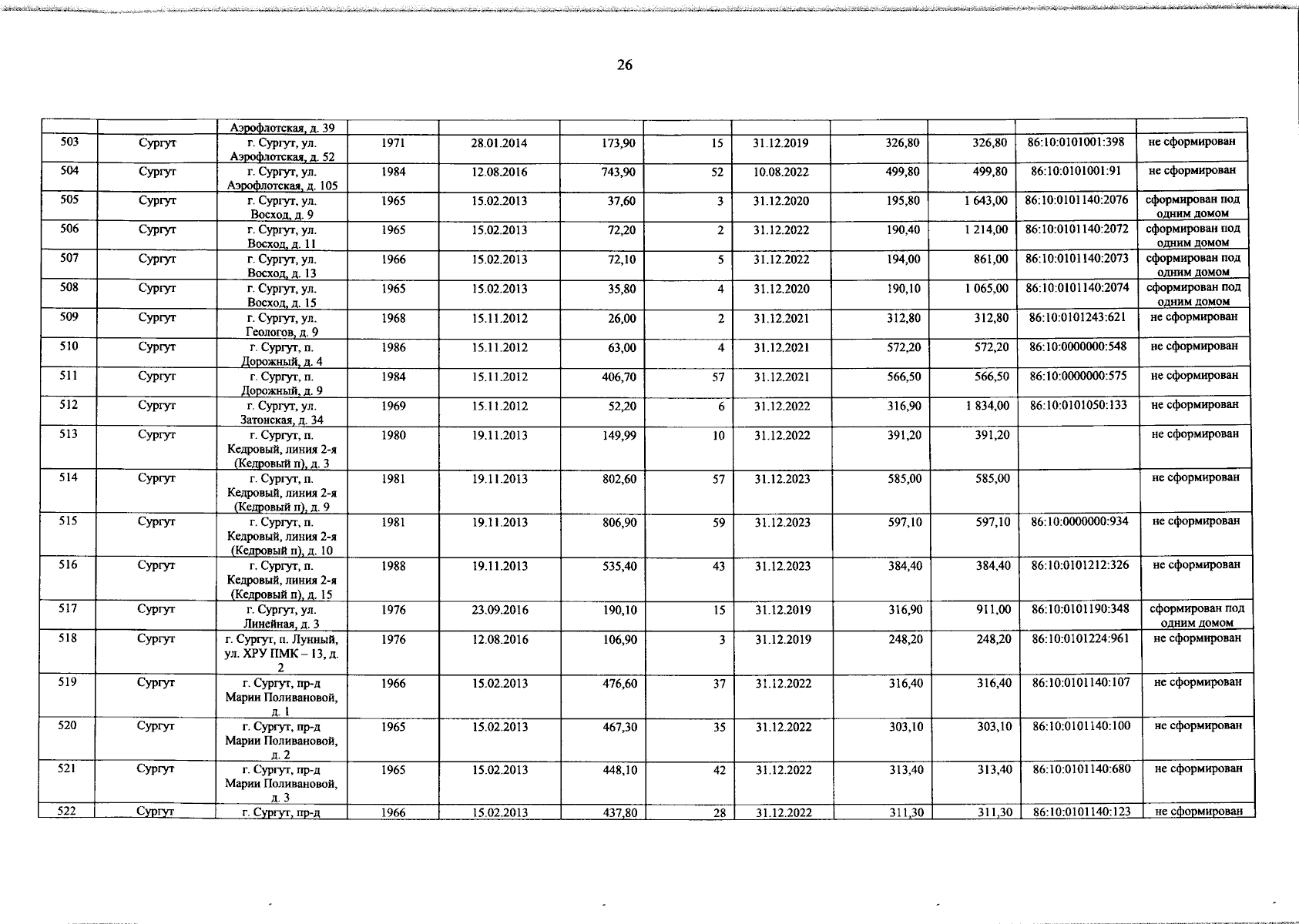
"О внесении изменений в приложение к постановлению Правительства Ханты-Мансийского автономного округа – Югры от 1 апреля 2019 года № 104-п "Об адресной программе Ханты-Мансийского автономного округа – Югры по переселению граждан из аварийного жилищного фонда на 2019 – 2025 годы"
Номер опубликования: 8600202603250001
Дата опубликования: 25.03.2026
Страница №26 из 77:
Увеличить