Официальное опубликование правовых актов
ОФИЦИАЛЬНОЕ ОПУБЛИКОВАНИЕ
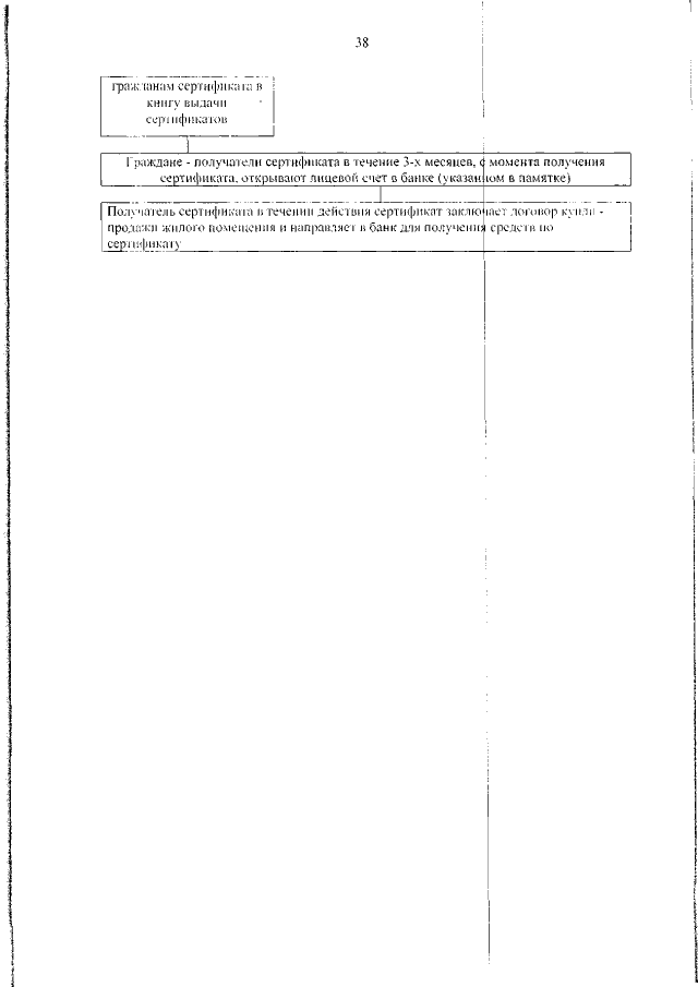
Приказ Департамента строительства Ханты-Мансийского автономного округа – Югры от 06.07.2018 № 12-нп
"О внесении изменений в приказ Департамента строительства Ханты-Мансийского автономного округа — Югры от 30 сентября 2013 года № 21-нп "Об утверждении Административного регламента предоставления государственной услуги по выдаче государственных жилищных сертификатов гражданам, выезжающим (выехавшим) из районов Крайнего Севера и приравненных к ним местностей, на приобретение жилых помещений в рамках подпрограммы "Выполнение государственных обязательств по обеспечению жильем категорий граждан, установленных федеральным законодательством" федеральной целевой программы "Жилище" на 2015-2020 годы"
(Зарегистрирован 12.07.2018 № 3932)
Номер опубликования: 8601201807190003
Дата опубликования: 19.07.2018
Страница №38 из 43:
Увеличить