Официальное опубликование правовых актов
ОФИЦИАЛЬНОЕ ОПУБЛИКОВАНИЕ
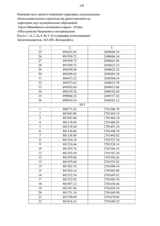
Приказ Департамента строительства Ханты-Мансийского автономного округа – Югры от 08.11.2018 № 23-нп
"Об утверждении документации по планировке территории"
(Зарегистрирован 14.11.2018 № 4035)
Номер опубликования: 8601201811200001
Дата опубликования: 20.11.2018
Страница №235 из 1606:
Увеличить