Официальное опубликование правовых актов
ОФИЦИАЛЬНОЕ ОПУБЛИКОВАНИЕ
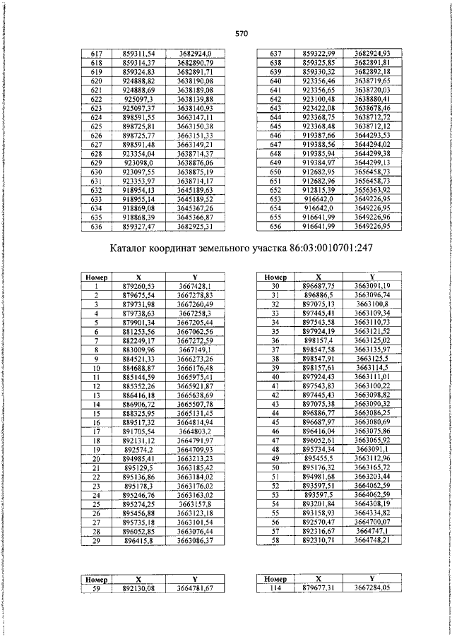
Приказ Департамента строительства Ханты-Мансийского автономного округа – Югры от 10.01.2020 № 1-нп
"Об утверждении документации по планировке территории и внесении изменений в некоторые приказы Департамента строительства Ханты- Мансийского автономного округа — Югры"
(Зарегистрирован 14.01.2020 № 4813)
Номер опубликования: 8601202001170002
Дата опубликования: 17.01.2020
Страница №570 из 621:
Увеличить