Официальное опубликование правовых актов
ОФИЦИАЛЬНОЕ ОПУБЛИКОВАНИЕ
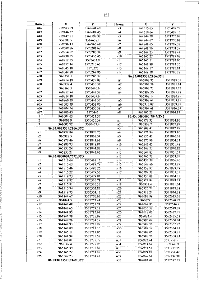
Приказ Департамента строительства Ханты-Мансийского автономного округа – Югры от 22.04.2020 № 11-нп
"Об утверждении документации по планировке территории и внесении изменений в некоторые приказы Департамента строительства Ханты-Мансийского автономного округа —- Югры"
(Зарегистрирован 28.04.2020 № 4992)
Номер опубликования: 8601202004300008
Дата опубликования: 30.04.2020
Страница №153 из 195:
Увеличить