Официальное опубликование правовых актов
ОФИЦИАЛЬНОЕ ОПУБЛИКОВАНИЕ
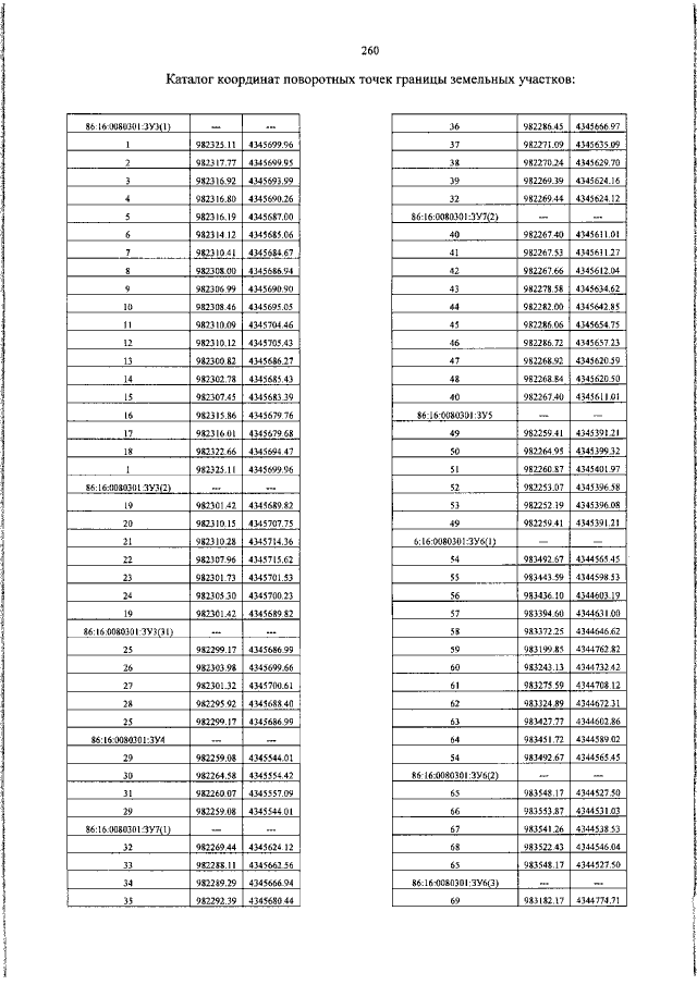
Приказ Департамента строительства Ханты-Мансийского автономного округа – Югры от 03.06.2020 № 18-нп
"Об утверждении документации по планировке территории и внесении изменений в некоторые приказы Департамента строительства Ханты-Мансийского автономного округа – Югры"
(Зарегистрирован 08.06.2020 № 5029)
Номер опубликования: 8601202006110001
Дата опубликования: 11.06.2020
Страница №260 из 310:
Увеличить