Официальное опубликование правовых актов
ОФИЦИАЛЬНОЕ ОПУБЛИКОВАНИЕ
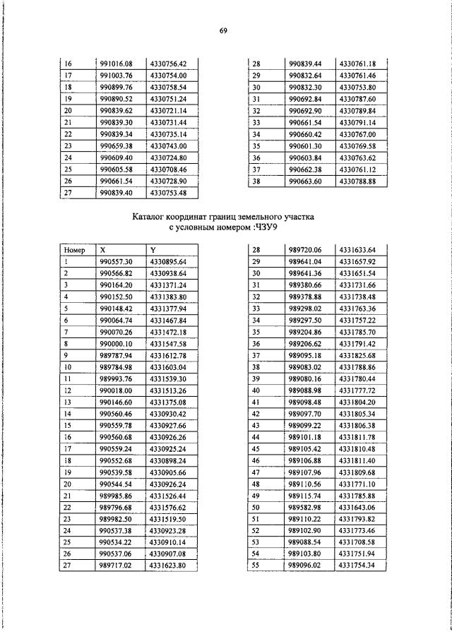
Приказ Департамента строительства Ханты-Мансийского автономного округа – Югры от 21.09.2020 № 23-нп
"Об утверждении документации по планировке территории и внесении изменений в некоторые приказы Департамента строительства Ханты-Мансийского автономного округа — Югры"
(Зарегистрирован 28.09.2020 № 5162)
Номер опубликования: 8601202010060001
Дата опубликования: 06.10.2020
Страница №69 из 1218:
Увеличить