Официальное опубликование правовых актов
ОФИЦИАЛЬНОЕ ОПУБЛИКОВАНИЕ
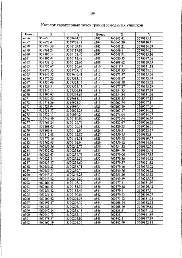
Приказ Департамента строительства Ханты-Мансийского автономного округа – Югры от 06.11.2020 № 26-нп
"Об утверждении документации по планировке территории и внесении изменения в приказ Департамента строительства Ханты-Мансийского автономного округа - Югры от 19 октября 2017 года № 28-нп "Об утверждении документации по планировке территории для размещения линейных объектов регионального значения"
(Зарегистрирован 11.11.2020 № 5213)
Номер опубликования: 8601202011160001
Дата опубликования: 16.11.2020
Страница №159 из 352:
Увеличить