Официальное опубликование правовых актов
ОФИЦИАЛЬНОЕ ОПУБЛИКОВАНИЕ
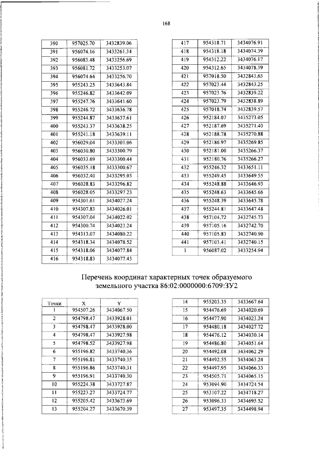
Приказ Департамента строительства Ханты-Мансийского автономного округа – Югры от 12.08.2021 № 21-нп
"Об утверждении документации по планировке территории"
(Зарегистрирован 17.08.2021 № 5619)
Номер опубликования: 8601202108260002
Дата опубликования: 26.08.2021
Страница №168 из 183:
Увеличить