Официальное опубликование правовых актов
ОФИЦИАЛЬНОЕ ОПУБЛИКОВАНИЕ
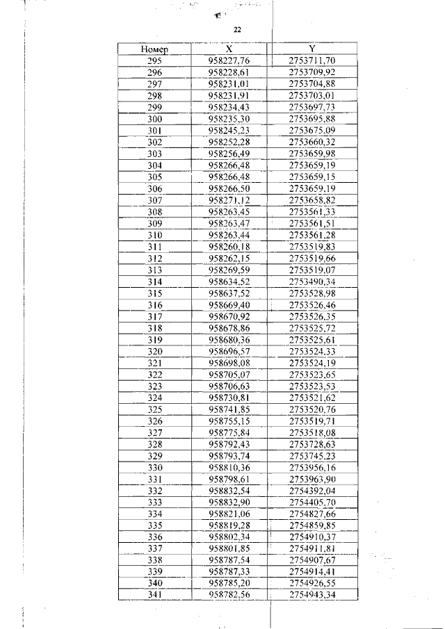
Приказ Департамента строительства Ханты-Мансийского автономного округа – Югры от 08.11.2021 № 30-нп
"Об утверждении документации по планировке территории"
(Зарегистрирован 12.11.2021 № 5751)
Номер опубликования: 8601202111150002
Дата опубликования: 15.11.2021
Страница №22 из 30:
Увеличить