Официальное опубликование правовых актов
ОФИЦИАЛЬНОЕ ОПУБЛИКОВАНИЕ
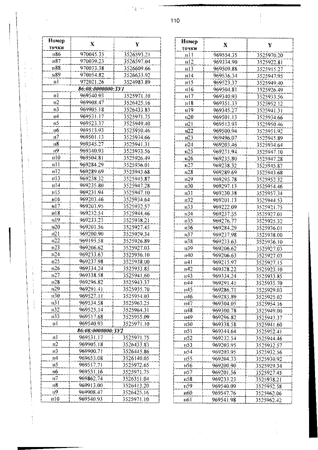
Приказ Департамента строительства Ханты-Мансийского автономного округа – Югры от 22.11.2021 № 31-нп
"Об утверждении документации по планировке территории"
(Зарегистрирован 29.11.2021 № 5793)
Номер опубликования: 8601202112030009
Дата опубликования: 03.12.2021
Страница №110 из 117:
Увеличить