Официальное опубликование правовых актов
ОФИЦИАЛЬНОЕ ОПУБЛИКОВАНИЕ
Приказ Департамента строительства Ханты-Мансийского автономного округа – Югры от 26.11.2021 № 35-нп
"Об утверждении документации по планировке территории"
(Зарегистрирован 02.12.2021 № 5801)
Номер опубликования: 8601202112060001
Дата опубликования: 06.12.2021
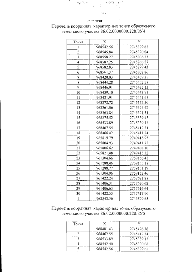
Страница №363 из 455:
Увеличить