Официальное опубликование правовых актов
ОФИЦИАЛЬНОЕ ОПУБЛИКОВАНИЕ
Приказ Департамента по управлению государственным имуществом Ханты-Мансийского автономного округа - Югры от 26.11.2021 № 27-нп
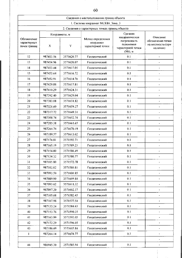
"Об утверждении границ охранных зон газораспределительных сетей, находящихся в собственности муниципального образования городской округ Сургут Ханты-Мансийского автономного округа – Югры и предоставленных на праве хозяйственного ведения Сургутскому городскому муниципальному унитарному предприятию "Городские тепловые сети", и наложении ограничений (обременений) на входящие в них земельные участки"
(Зарегистрирован 30.11.2021 № 5798)
Номер опубликования: 8601202112070002
Дата опубликования: 07.12.2021
Страница №60 из 69:
Увеличить