Официальное опубликование правовых актов
ОФИЦИАЛЬНОЕ ОПУБЛИКОВАНИЕ
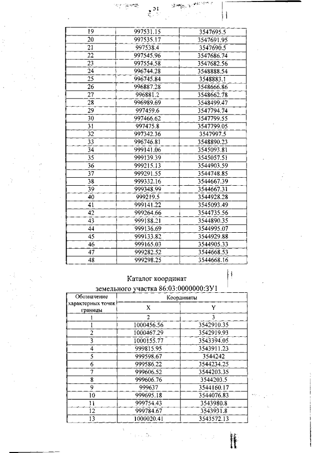
Приказ Департамента строительства Ханты-Мансийского автономного округа – Югры от 02.02.2022 № 4-нп
"Об утверждении документации по планировке территории"
(Зарегистрирован 07.02.2022 № 5938)
Номер опубликования: 8601202202090001
Дата опубликования: 09.02.2022
Страница №51 из 58:
Увеличить