Официальное опубликование правовых актов
ОФИЦИАЛЬНОЕ ОПУБЛИКОВАНИЕ
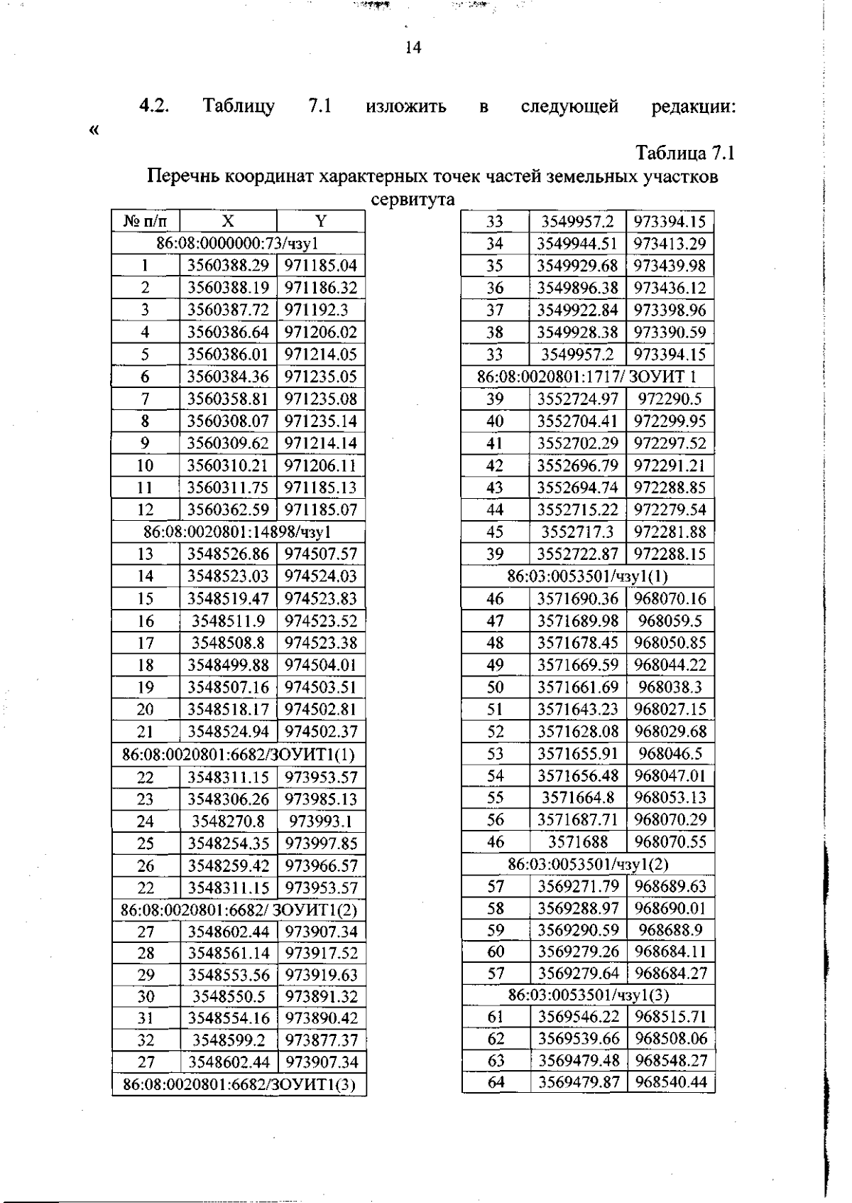
Приказ Департамента пространственного развития и архитектуры Ханты-Мансийского автономного округа - Югры от 29.03.2024 № 15-нп
"О внесении изменений в приказ Департамента пространственного развития и архитектуры Ханты-Мансийского автономного округа – Югры от 20 июня 2023 года № 28-нп «Об утверждении документации по планировке территории»"
(Зарегистрирован 04.04.2024 № 7462)
Номер опубликования: 8601202404050002
Дата опубликования: 05.04.2024
Страница №14 из 16:
Увеличить