Официальное опубликование правовых актов
ОФИЦИАЛЬНОЕ ОПУБЛИКОВАНИЕ
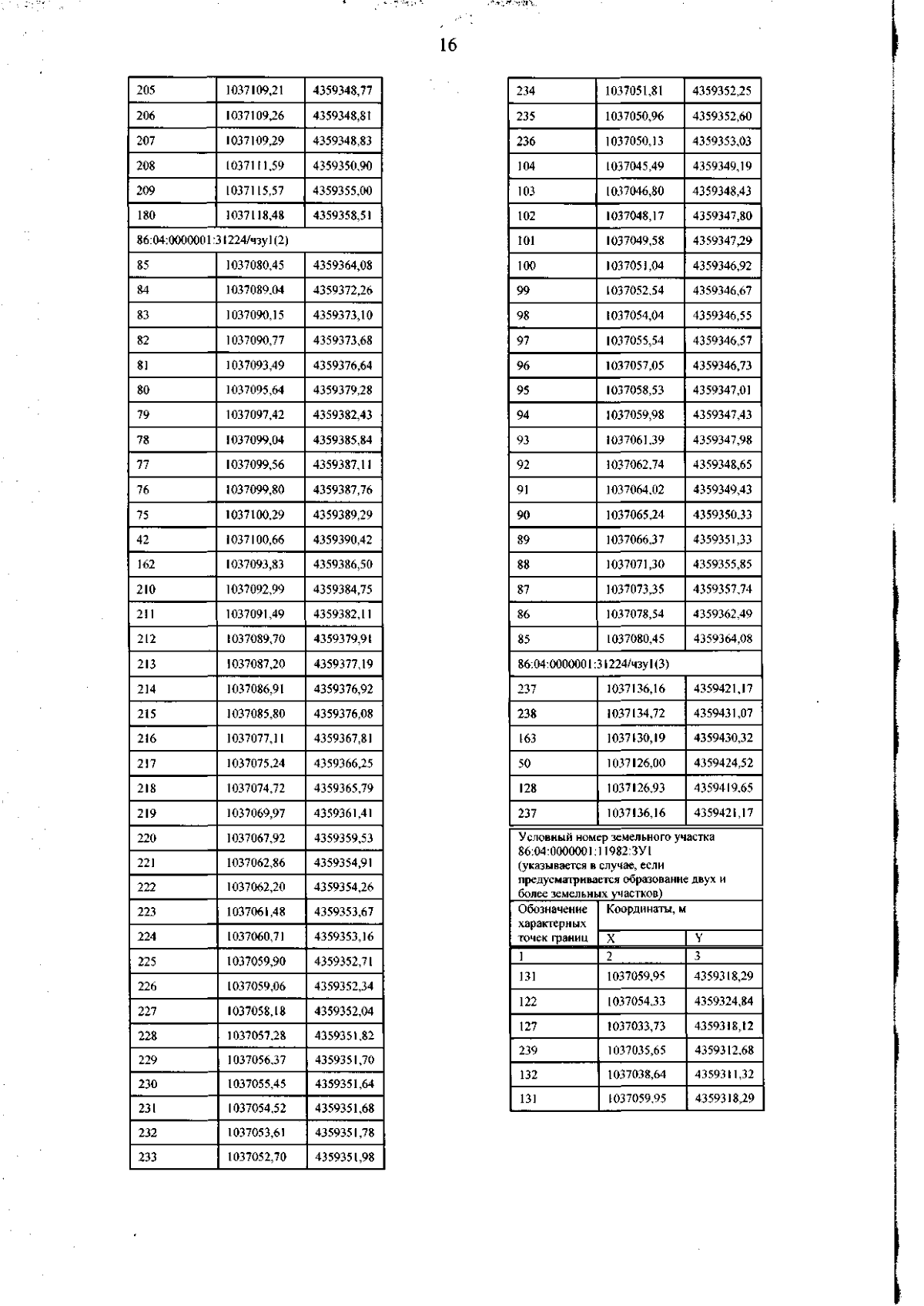
Приказ Департамента пространственного развития и архитектуры Ханты-Мансийского автономного округа - Югры от 29.03.2024 № 16-нп
"Об утверждении документации по планировке территории"
(Зарегистрирован 04.04.2024 № 7463)
Номер опубликования: 8601202404050004
Дата опубликования: 05.04.2024
Страница №16 из 18:
Увеличить