Официальное опубликование правовых актов
ОФИЦИАЛЬНОЕ ОПУБЛИКОВАНИЕ
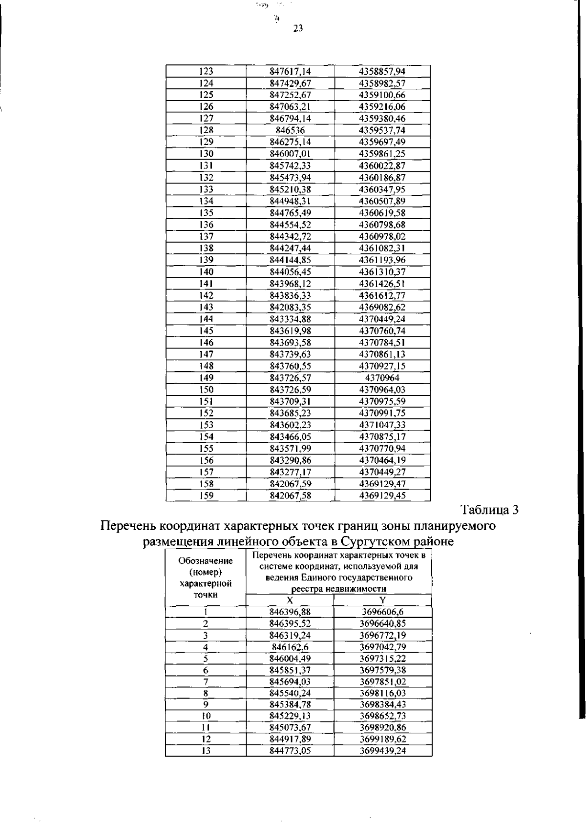
Приказ Департамента пространственного развития и архитектуры Ханты-Мансийского автономного округа - Югры от 04.04.2024 № 19-нп
"Об утверждении документации по планировке территории"
(Зарегистрирован 05.04.2024 № 7476 )
Номер опубликования: 8601202404100006
Дата опубликования: 10.04.2024
Страница №23 из 26:
Увеличить