Официальное опубликование правовых актов
ОФИЦИАЛЬНОЕ ОПУБЛИКОВАНИЕ
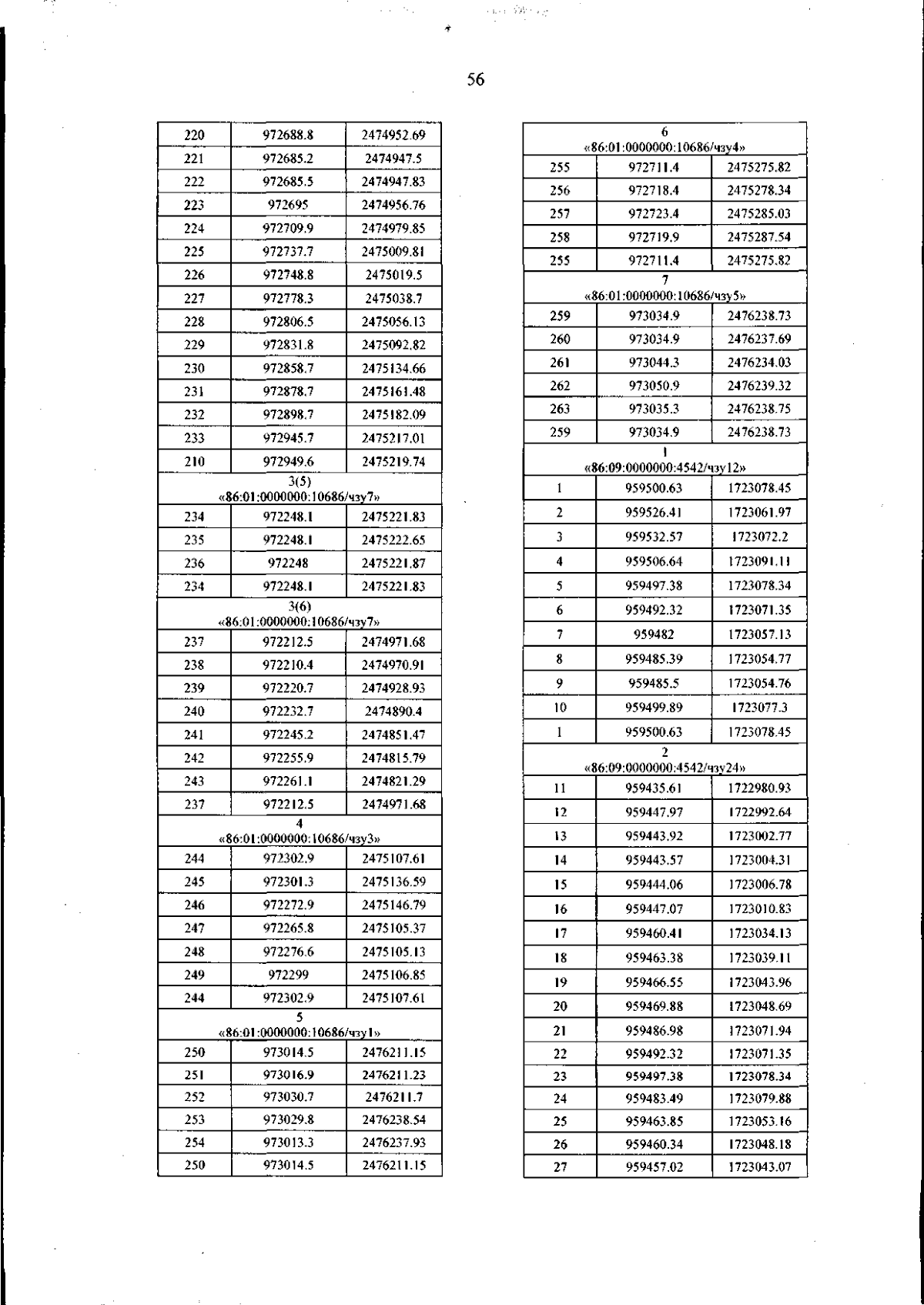
Приказ Департамента пространственного развития и архитектуры Ханты-Мансийского автономного округа - Югры от 11.04.2024 № 24-нп
"Об утверждении документации по планировке территории"
(Зарегистрирован 16.04.2024 № 7499 )
Номер опубликования: 8601202404170004
Дата опубликования: 17.04.2024
Страница №56 из 99:
Увеличить