Официальное опубликование правовых актов
ОФИЦИАЛЬНОЕ ОПУБЛИКОВАНИЕ
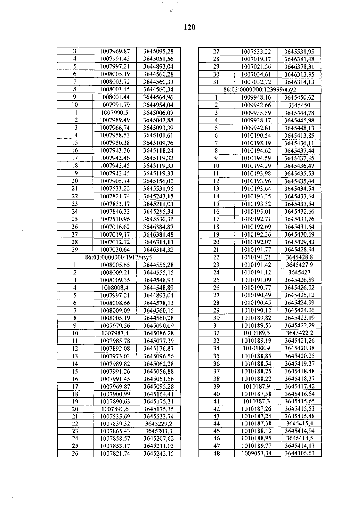
Приказ Департамента пространственного развития и архитектуры Ханты-Мансийского автономного округа - Югры от 30.07.2024 № 37-нп
"Об утверждении документации по планировке территории"
(Зарегистрирован 01.08.2024 № 7644)
Номер опубликования: 8601202408060003
Дата опубликования: 06.08.2024
Страница №120 из 140:
Увеличить