Официальное опубликование правовых актов
ОФИЦИАЛЬНОЕ ОПУБЛИКОВАНИЕ
Приказ Департамента по управлению государственным имуществом Ханты-Мансийского автономного округа - Югры от 31.10.2025 № 39-нп
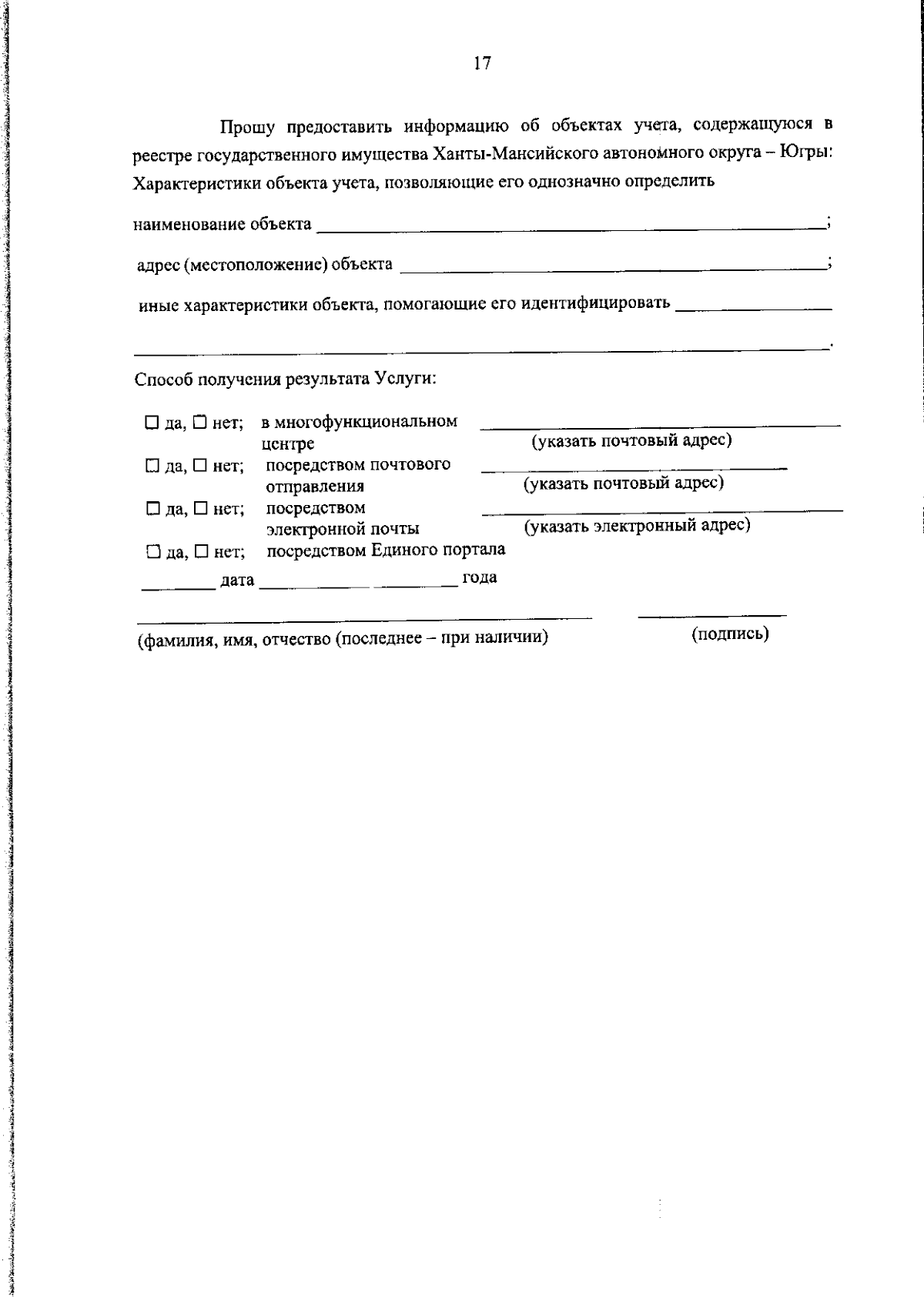
"Об утверждении административного регламента по предоставлению государственной услуги "Предоставление информации об объектах учета, содержащейся в реестре государственного имущества Ханты-Мансийского автономного округа – Югры"
(Зарегистрирован 27.11.2025 № 8418)
Номер опубликования: 8601202512010001
Дата опубликования: 01.12.2025
Страница №17 из 17:
Увеличить