Официальное опубликование правовых актов
ОФИЦИАЛЬНОЕ ОПУБЛИКОВАНИЕ
Приказ Департамента строительства и архитектуры Ханты-Мансийского автономного округа – Югры от 17.02.2026 № 10-нп
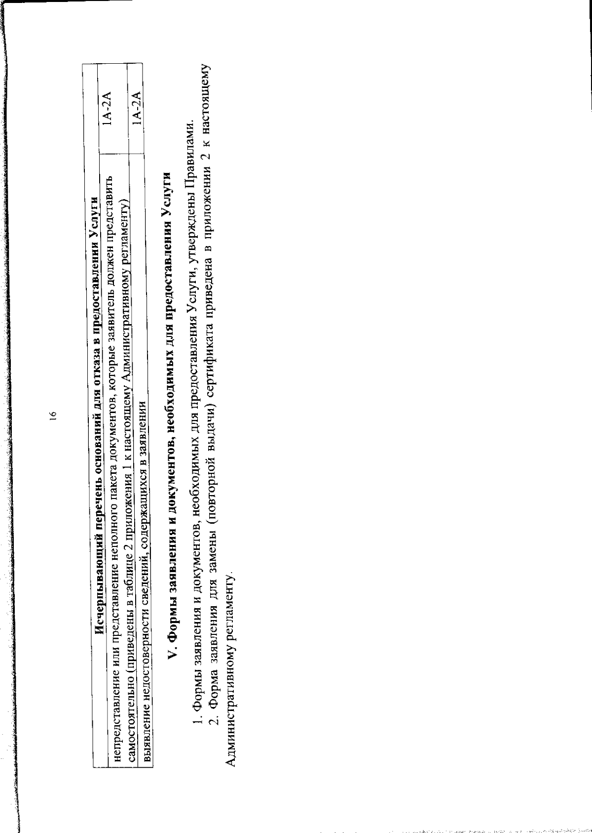
"Об утверждении Административного регламента предоставления государственной услуги "Выдача государственного жилищного сертификата гражданам, признанным в установленном порядке вынужденными переселенцами"
(Зарегистрирован 19.02.2026 № 8688)
Номер опубликования: 8601202602270003
Дата опубликования: 27.02.2026
Страница №16 из 17:
Увеличить