Официальное опубликование правовых актов
ОФИЦИАЛЬНОЕ ОПУБЛИКОВАНИЕ
Приказ Департамента социального развития Ханты-Мансийского автономного округа - Югры от 03.02.2026 № 25-нп
"Об утверждении административного регламента предоставления государственной услуги "Установление статуса многодетной семьи (выдача и замена удостоверения многодетной семьи в случаях, предусмотренных нормативными правовыми актами субъекта Российской Федерации)"
(Зарегистрирован 26.02.2026 № 8702)
Номер опубликования: 8601202603020001
Дата опубликования: 02.03.2026
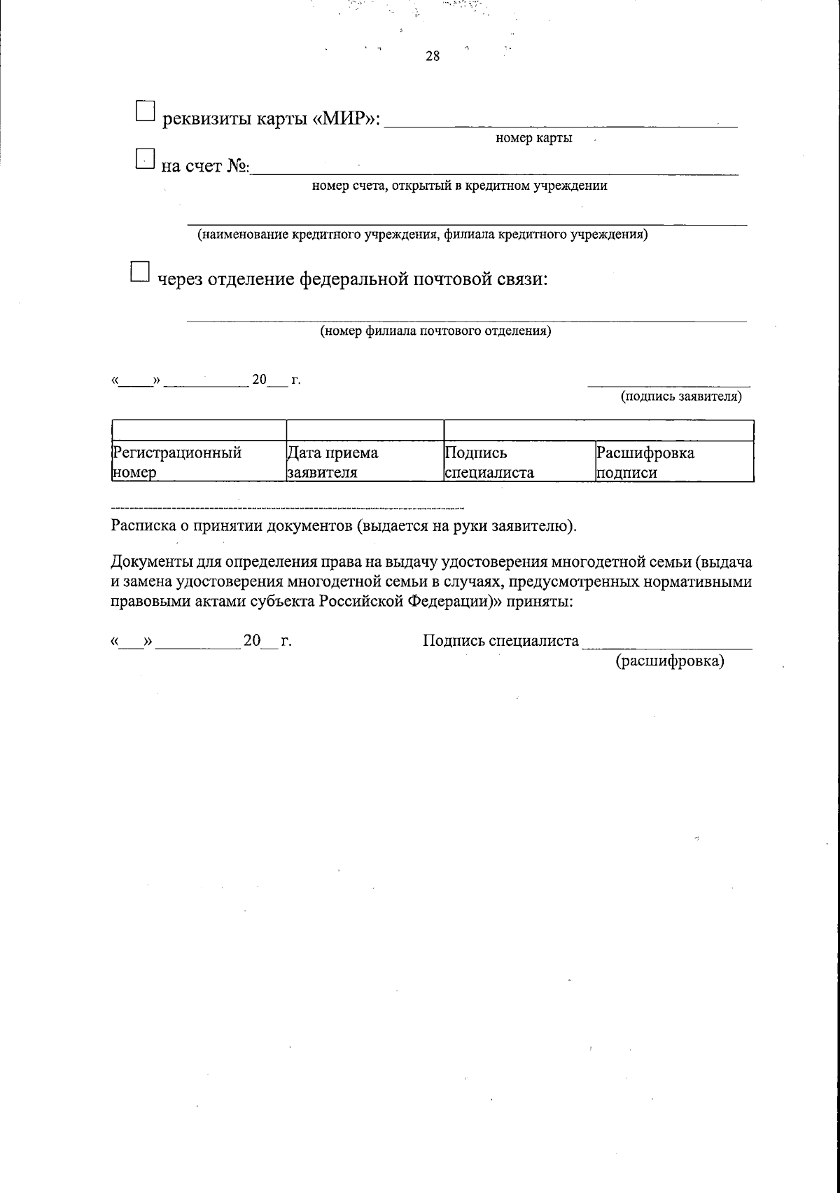
Страница №28 из 28:
Увеличить