Официальное опубликование правовых актов
ОФИЦИАЛЬНОЕ ОПУБЛИКОВАНИЕ
Постановление Губернатора Чукотского автономного округа от 12.08.2016 № 88
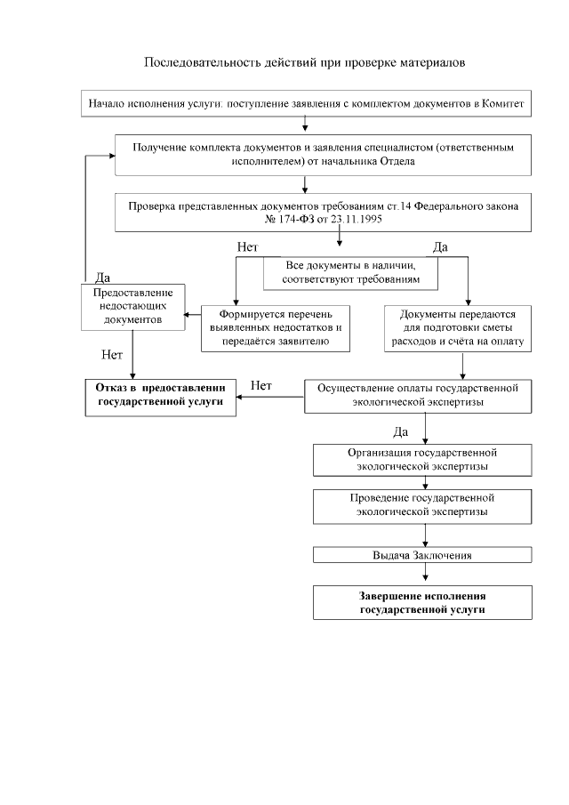
"Об утверждении Административного регламента Департамента промышленной и сельскохозяйственной политики Чукотского автономного округа по предоставлению государственной услуги "Организация и проведение государственной экологической экспертизы объектов регионального уровня"
Номер опубликования: 8700201608180002
Дата опубликования: 18.08.2016
Страница №43 из 76:
Увеличить