Официальное опубликование правовых актов
ОФИЦИАЛЬНОЕ ОПУБЛИКОВАНИЕ
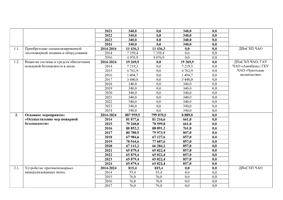
Постановление Правительства Чукотского автономного округа от 13.03.2019 № 128
"О внесении изменений в Постановление Правительства Чукотского автономного округа от 21 октября 2013 года № 409"
Номер опубликования: 8700201903150005
Дата опубликования: 15.03.2019
Страница №12 из 19:
Увеличить